题目描述
给定一个单链表 L 的头节点 head ,单链表 L 表示为:
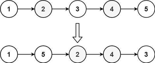
L0 → L1 → … → Ln – 1 → Ln
请将其重新排列后变为:
L0 → Ln → L1 → Ln – 1 → L2 → Ln – 2 → …
不能只是单纯的改变节点内部的值,而是需要实际的进行节点交换。
示例:

输入:head = [1,2,3,4,5]
输出:[1,5,2,4,3]
题目分析
先找到中点,把链表拆分为2个,把后面的链表反转,最后再将2个链表合并。
空间复杂度 O(1)
Java
public void reorderList(ListNode head) {
ListNode midNode = getMidNode(head);
ListNode p1 = head, p2 = midNode.next;
midNode.next = null;
p2 = reverse(p2);
merge(p1, p2);
}
private ListNode getMidNode(ListNode head) {
if (head == null) {
return null;
}
ListNode slow = head, fast = head.next;
while (fast != null && fast.next != null) {
slow = slow.next;
fast = fast.next.next;
}
return slow;
}
private ListNode reverse(ListNode head) {
ListNode pre = null;
while (head != null) {
ListNode temp = head.next;
head.next = pre;
pre = head;
head = temp;
}
return pre;
}
private void merge(ListNode p1, ListNode p2) {
while (p1 != null && p2 != null) {
ListNode next1 = p1.next;
ListNode next2 = p2.next;
p1.next = p2;
if (next1 != null) {
p2.next = next1;
}
p1 = next1;
p2 = next2;
}
}
Kotlin
fun reorderList(head: ListNode?): Unit {
if (head == null) {
return
}
val midNode = getMidNode(head)
val p1 = head
val p2 = reverse(midNode.next)
midNode.next = null
merge(p1, p2)
}
private fun getMidNode(head: ListNode): ListNode {
var slow = head
var fast = head.next
while (fast?.next != null) {
slow = slow.next!!
fast = fast.next!!.next
}
return slow
}
private fun reverse(head: ListNode?): ListNode? {
var pre: ListNode? = null
var cur = head
while (cur != null) {
val temp = cur.next
cur.next = pre
pre = cur
cur = temp
}
return pre
}
private fun merge(p1: ListNode?, p2: ListNode?) {
var cur1 = p1
var cur2 = p2
while (cur1 != null && cur2 != null) {
val next1 = cur1.next
val next2 = cur2.next
cur1.next = cur2
if (next1 != null) {
cur2.next = next1
}
cur1 = next1
cur2 = next2
}
}