题目描述
给定一个链表的头节点 head ,返回链表开始入环的第一个节点。 如果链表无环,则返回 null。
如果链表中有某个节点,可以通过连续跟踪 next 指针再次到达,则链表中存在环。 为了表示给定链表中的环,评测系统内部使用整数 pos 来表示链表尾连接到链表中的位置(索引从 0 开始)。如果 pos 是 -1,则在该链表中没有环。注意:pos 不作为参数进行传递,仅仅是为了标识链表的实际情况。
不允许修改 链表。
示例1

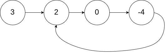
输入:head = [3,2,0,-4], pos = 1
输出:返回索引为 1 的链表节点
解释:链表中有一个环,其尾部连接到第二个节点。
题目分析
快慢指针,分别每次走2步和1步,第一次相遇时停止。
两个指针之所以会相遇,是因为快指针比慢指针多走了一个环的周长。
由于快指针走的长度是慢指针2倍,所以慢指针走的长度等于环的周长。
如图所示,假设紫色点为快慢指针相遇点:
– 慢指针的步数:a + b
– 快指针的步数:2 * (a + b)
– 快指针多走了一个环的周长: b + c
综合可得 a + b = b + c,即 a = c

此时让快指针从头开始走,每次1步,与慢指针再次相遇时,即为环的起始点。
空间复杂度 O(1)
Java
public ListNode detectCycle(ListNode head) {
ListNode slow = head, fast = head;
if (head == null || head.next == null) {
return null;
}
do {
slow = slow.next;
fast = fast.next.next;
} while (fast != null && fast.next != null && slow != fast);
if (fast == null || slow != fast) {
return null;
}
fast = head;
while (slow != fast) {
slow = slow.next;
fast = fast.next;
}
return slow;
}
Kotlin
fun detectCycle(head: ListNode?): ListNode? {
var slow = head
var fast = head
do {
slow = slow?.next
fast = fast?.next?.next
} while (fast?.next != null && slow != fast)
if (fast == null || slow != fast) {
return null
}
fast = head
while (fast != slow) {
slow = slow?.next
fast = fast?.next
}
return fast
}