题目描述
给你一个链表,删除链表的倒数第 n 个结点,并且返回链表的头结点。
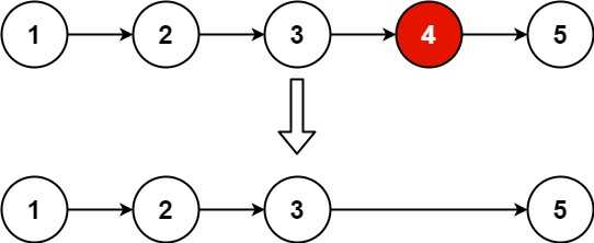
示例1:

输入:head = [1,2,3,4,5], n = 2
输出:[1,2,3,5]
题目分析
快慢指针,快指针提前走 n 步。
后面再同时走,当快指针到达链表尾部时,慢指针恰好在第 n 个元素前面。
使用虚拟节点做头节点,可以避免很多边界case。
Java
public ListNode removeNthFromEnd(ListNode head, int n) {
ListNode fake = new ListNode(0);
fake.next = head;
ListNode slow = fake, fast = fake;
while (n > 0 && fast != null) {
fast = fast.next;
n--;
}
while (fast != null && fast.next != null) {
slow = slow.next;
fast = fast.next;
}
slow.next = slow.next.next;
return fake.next;
}
Kotlin
fun removeNthFromEnd(head: ListNode?, n: Int): ListNode? {
val fake = ListNode(0)
fake.next = head
var slow: ListNode? = fake
var fast: ListNode? = fake
var count = n
while (count > 0 && fast != null) {
fast = fast.next
count--
}
while (fast?.next != null) {
slow = slow?.next
fast = fast.next
}
slow?.next = slow?.next?.next
return fake.next
}