题目描述
给你两个单链表的头节点 headA 和 headB ,请你找出并返回两个单链表相交的起始节点。如果两个链表不存在相交节点,返回 null 。
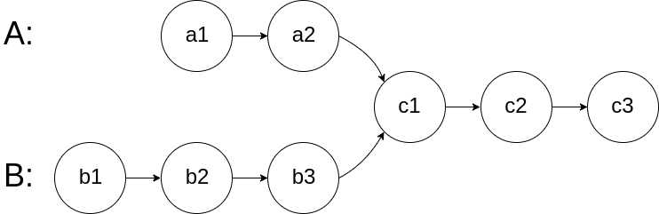
图示两个链表在节点 c1 开始相交:

题目数据 保证 整个链式结构中不存在环。
注意,函数返回结果后,链表必须 保持其原始结构 。
题目分析
长度差
先遍历一下两个链表的长度,差为 count。
让长的先走 count 步,最后再同步走,直到相遇。
时间复杂度 O(m + n)
拼接
让两个链表相互拼接,得到 A+B 和 B+A。
此时长度是相同的,可以同步进行遍历。
(代码中不需要真的做拼接,手动控制指针的遍历顺序即可)
如果链表相交,会相遇;如果不相交,会同时为null。
时间复杂度 O(m + n)
Java
public ListNode getIntersectionNode1(ListNode headA, ListNode headB) {
int lengthA = getLength(headA);
int lengthB = getLength(headB);
// 确保 A 比较长
if (lengthB > lengthA) {
ListNode temp = headB;
headB = headA;
headA = temp;
}
int count = Math.abs(lengthA - lengthB);
while (count > 0) {
headA = headA.next;
count--;
}
while (headA != headB) {
headA = headA.next;
headB = headB.next;
}
return headA;
}
private int getLength(ListNode node) {
int length = 0;
while (node != null) {
length++;
node = node.next;
}
return length;
}
public ListNode getIntersectionNode2(ListNode headA, ListNode headB) {
ListNode a = headA, b = headB;
while(a != b) {
a = a == null ? headB : a.next;
b = b == null ? headA : b.next;
}
return a;
}
Kotlin
fun getIntersectionNode(headA: ListNode?, headB: ListNode?): ListNode? {
var a = headA
var b = headB
while (a != b) {
a = if (a == null) headB else a.next
b = if (b == null) headA else b.next
}
return a
}