题目描述
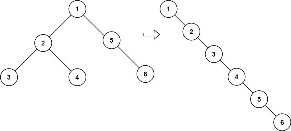
给你二叉树的根结点 root ,请你将它展开为一个单链表:
展开后的单链表应该同样使用 TreeNode ,其中 right 子指针指向链表中下一个结点,而左子指针始终为 null 。
展开后的单链表应该与二叉树 先序遍历 顺序相同。
题目分析
先序遍历
先序遍历,可以递归,也可以使用栈模拟。把遍历结果存在 list 中,最后再统一修改结点之间的父子关系。
时间复杂度 O(n),空间复杂度 O(n)
前驱结点
先序遍历是 根 -> 左 -> 右 的顺序,对于右子结点来说,前驱是根的左子树中最后一个结点。
1. 找到根的左子树的最后一个结点 last,把根的右子树连接到 last 上
2. 把根的左子树移动到右边,变成右子树
3. 向右方处理下一个结点,不断循环
时间复杂度 O(n),空间复杂度 O(1)
Java
public void flatten(TreeNode root) {
List<TreeNode> list = new ArrayList<>();
dfs(root, list);
for (int i = 1; i < list.size(); i++) {
TreeNode pre = list.get(i - 1);
pre.left = null;
pre.right = list.get(i);
}
}
private void dfs(TreeNode root, List<TreeNode> list) {
if (root == null) {
return;
}
list.add(root);
dfs(root.left, list);
dfs(root.right, list);
}
public void flatten2(TreeNode root) {
List<TreeNode> list = new ArrayList<>();
Deque<TreeNode> stack = new LinkedList<>();
TreeNode cur = root;
while (cur != null || !stack.isEmpty()) {
while (cur != null) {
stack.push(cur);
list.add(cur);
cur = cur.left;
}
cur = stack.pop();
cur = cur.right;
}
for (int i = 1; i < list.size(); i++) {
TreeNode pre = list.get(i - 1);
pre.left = null;
pre.right = list.get(i);
}
}
public void flatten3(TreeNode root) {
TreeNode node = root;
while (node != null) {
if (node.left != null) {
TreeNode leftLast = node.left;
while (leftLast.right != null) {
leftLast = leftLast.right;
}
leftLast.right = node.right;
node.right = node.left;
node.left = null;
}
node = node.right;
}
}
Kotlin
fun flatten(root: TreeNode?): Unit {
var node = root
while (node != null) {
if (node.left != null) {
var leftLast = node.left
while (leftLast?.right != null) {
leftLast = leftLast.right
}
leftLast?.right = node.right
node.right = node.left
node.left = null
}
node = node.right
}
}
