题目描述
给你一棵二叉树的根节点,返回该树的 直径 。
二叉树的 直径 是指树中任意两个节点之间最长路径的 长度 。这条路径可能经过也可能不经过根节点 root 。
两节点之间路径的 长度 由它们之间边数表示。
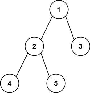
输入:root = [1,2,3,4,5]
输出:3
解释:3 ,取路径 [4,2,1,3] 或 [5,2,1,3] 的长度。
题目分析
树的直径是 根节点或子节点的(左子树高度+右子树高度),取最大值。因此使用递归计算一次 root 的高度,过程中就可以得到每个节点的左子树高度和右子树高度,维护 ans 即可
Java
private int ans = 0;
public int diameterOfBinaryTree(TreeNode root) {
if (root == null) {
return 0;
}
ans = 0;
height(root);
return ans;
}
private int height(TreeNode node) {
if (node == null) {
return 0;
}
int left = height(node.left);
int right = height(node.right);
ans = Math.max(ans, left + right);
return Math.max(left, right) + 1;
}
Kotlin
private var ans = 0
fun diameterOfBinaryTree(root: TreeNode?): Int {
if (root == null) {
return 0
}
ans = 0
height(root)
return ans
}
private fun height(root: TreeNode?): Int {
if (root == null) {
return 0
}
val left = height(root.left)
val right = height(root.right)
ans = max(ans, left + right)
return max(left, right) + 1
}
