引言
显示数学公式,可以使用HTML5中的MathML,功能特别强大。但是有的浏览器不支持或者个别版本支持,目前对此支持比较好的浏览器是 Firefox 和 Safari.
实例一
<!DOCTYPE html>
<html>
<head>
<meta charset="UTF-8">
<title>简单的MathML</title>
</head>
<body>
<math xmlns="http://www.w3.org/1998/Math/MathML">
<mrow>
<msup><mi>a</mi><mn>2</mn></msup>
<mo>+</mo>
<msup><mi>b</mi><mn>2</mn></msup>
<mo>=</mo>
<msup><mi>c</mi><mn>2</mn></msup>
</mrow>
</math>
</body>
</html>
当前浏览器的显示效果如下:
正确的显示应为:

实例二
<!DOCTYPE html>
<html>
<head>
<meta charset="UTF-8">
<title>简单的MathML</title>
</head>
<body>
<math xmlns="http://www.w3.org/1998/Math/MathML">
<mrow>
<mrow>
<msup>
<mi>x</mi>
<mn>2</mn>
</msup>
<mo>+</mo>
<mrow>
<mn>4</mn>
<mo></mo>
<mi>x</mi>
</mrow>
<mo>+</mo>
<mn>4</mn>
</mrow>
<mo>=</mo>
<mn>0</mn>
</mrow>
</math>
</body>
</html>
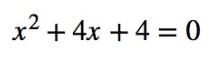
当前浏览器的显示效果如下:
正确的显示应为:

实例三
<!DOCTYPE html>
<html>
<head>
<meta charset="UTF-8">
<title>简单的MathML</title>
</head>
<body>
<math xmlns="http://www.w3.org/1998/Math/MathML">
<mrow>
<mi>A</mi>
<mo>=</mo>
<mfenced open="[" close="]">
<mtable>
<mtr>
<mtd><mi>x</mi></mtd>
<mtd><mi>y</mi></mtd>
</mtr>
<mtr>
<mtd><mi>z</mi></mtd>
<mtd><mi>w</mi></mtd>
</mtr>
</mtable>
</mfenced>
</mrow>
</math>
</body>
</html>
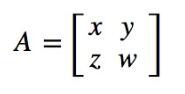
当前浏览器的显示效果如下:
正确的显示应为:

实例四
上面三个例子是在网上复制的别人的,下面这一个是自己写的一个,有积分、极限、求和、分数、平方根。
<!DOCTYPE html>
<html>
<head>
<meta charset="UTF-8">
<title>MathML测试</title>
</head>
<body>
<br>
<p align="center">
<font size="8">
数学公式
<br>
支持浏览器:Firefox、Safari
<br><br>
<math>
<mrow>
<msup><mi>a</mi><mn>2</mn></msup><mo>+</mo><msup><mi>b</mi><mn>2</mn></msup><mo>=</mo>
<mfrac>
<mn> 9 </mn>
<mn> 5 </mn>
</mfrac>
<menclose notation="radical">
<msup><mi>a</mi><mn>2</mn></msup><mo>+</mo><msup><mi>b</mi><mn>2</mn></msup>
</menclose>
</mrow>
</math>
<br><br>
<math>
<munderover>
<mrow> <mo> ∑ </mo> </mrow> <mrow> <mi> i </mi> <mo> = </mo> <mn> 1 </mn> </mrow> <mrow> <mi> ∞ </mi> </mrow>
</munderover>
<munderover>
<mrow> <mo> ∫ </mo> </mrow> <mrow> <mn> 0 </mn> </mrow> <mrow> <mn> 1 </mn> </mrow>
</munderover>
<mi> f </mi> <mfenced> <mrow> <mi> i </mi> </mrow> </mfenced> <mi> dx </mi>
</math>
<br><br>
<math>
<munder>
<mrow> <mi> lim </mi> </mrow> <mrow> <mi> n </mi> <mo> → </mo> <mo> + </mo> <mi> ∞</mi> </mrow>
</munder> <msub> <mrow> <mi> x </mi> </mrow> <mrow> <mi> n </mi> </mrow> </msub> <mo> = </mo> <mi> a </mi>
</math>
</font>
</p>
</body>
</html>
正确的显示应为
